Constraints on the finite volume two-nucleon spectrum at $m_π\approx 806$ MeV
Authors
William Detmold, Marc Illa, William I. Jay, Assumpta Parreño, Robert J. Perry, Phiala E. Shanahan, Michael L. Wagman
Abstract
The low-energy finite-volume spectrum of the two-nucleon system at a quark mass corresponding to a pion mass of $m_π\approx 806$ MeV is studied with lattice quantum chromodynamics (LQCD) using variational methods. The interpolating-operator sets used in [Phys.Rev.D 107 (2023) 9, 094508] are extended by including a complete basis of local hexaquark operators, as well as plane-wave dibaryon operators built from products of both positive- and negative-parity nucleon operators. Results are presented for the isosinglet and isotriplet two-nucleon channels. In both channels, noticably weaker variational bounds on the lowest few energy eigenvalues are obtained from operator sets which contain only hexaquark operators or operators constructed from the product of two negative-parity nucleons, while other operator sets produce low-energy variational bounds which are consistent within statistical uncertainties. The consequences of these studies for the LQCD understanding of the two-nucleon spectrum are investigated.
Concepts
The Big Picture
Imagine trying to understand a knot by looking through a foggy window, knowing only that what you see is the loosest possible tangle. The real knot could be tighter, but never looser. That is roughly the situation physicists face when extracting energies from lattice quantum chromodynamics (LQCD), the most powerful computational tool available for nuclear physics.
The strong nuclear force holds together every atomic nucleus. It is also the force that confines quarks inside protons and neutrons. Yet despite decades of effort, no one has managed to calculate from first principles whether two neutrons can stick together as a stable pair. That gap has real consequences: it affects how we interpret dark matter experiments, how we understand heavy-element formation in stars, and how we design searches for rare radioactive decays that might point toward new physics.
A team from MIT, Fermilab, and the University of Barcelona has now confronted one of the deepest sources of confusion in this field. Does the answer you extract from LQCD depend on how you ask the question? Their study systematically probes how the choice of mathematical “operators” (quantum-mechanical probes used to interrogate two-nucleon systems) affects the extracted energy levels. What emerges is a clearer, more honest picture of what we do and don’t know.
Key Insight: The energy levels you extract from lattice QCD are not unique. They depend on which operators you use to probe the system, and some choices can give dangerously misleading answers. This work identifies which choices are trustworthy and which are not.
How It Works
Lattice QCD discretizes spacetime into a grid and numerically computes how quarks and gluons behave. To study two-nucleon systems, physicists extract energy eigenvalues, the discrete energy levels a proton-neutron or neutron-neutron pair can occupy when confined in a finite computational box. From those levels, they infer scattering properties using the Lüscher method, a mathematical bridge between the finite-volume spectrum and the infinite-volume physics we actually care about.

The catch is that energy levels cannot be measured directly. Physicists instead construct interpolating operators, mathematical objects designed to “look like” the two-nucleon state of interest, and then measure how signals built from these operators decay over a computational analog of time. The rate of decay encodes the energy.
The variational method takes this further by deploying a whole basis of operators at once, setting up what is called a generalized eigenvalue problem (GEVP). The lowest energy found this way is guaranteed to be an upper bound on the true ground-state energy. A tighter bound means you are closer to the truth.
The researchers tested several distinct operator families:
- Plane-wave dibaryon operators: products of two nucleon operators, each carrying definite momentum. This is the standard workhorse of the field.
- Local hexaquark operators: all six quarks placed at the same spatial point, with no assumption that they form two separate nucleons.
- Negative-parity nucleon operators: built from a specific component of the relativistic quantum description of each nucleon. This is a new addition, not studied in prior work.
The calculation used a lattice with spatial side-length L ≈ 3.4 fm and an artificially heavy pion mass of mπ ≈ 806 MeV, about six times the physical value. Heavier quarks reduce computational cost and sharpen the signal, making this a controlled testbed for method development.

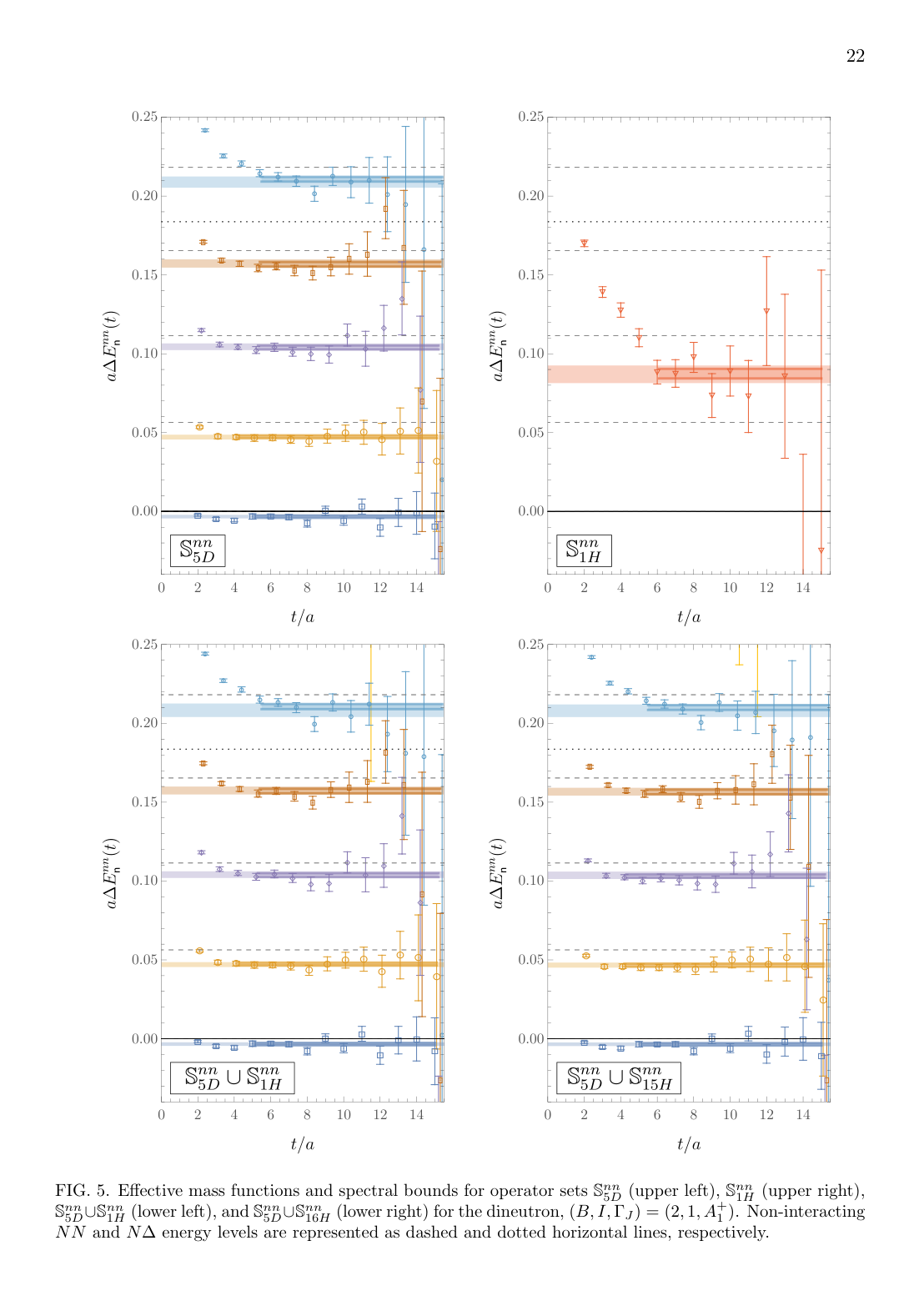
Both the isosinglet channel (I = 0, proton-neutron with spin 1, analogous to the deuteron) and the isotriplet channel (I = 1, two identical nucleons, analogous to the dineutron) were studied. These quantum labels classify how the two nucleons’ identity numbers combine. For each channel, the team tested many operator subsets, including bases with as many as 46 operators at once.
Why It Matters
The central result is clean. Operator bases dominated by hexaquark-only operators, or built exclusively from negative-parity nucleon operators, produced variational bounds that were noticeably weaker. Those sets failed to capture the low-energy physics efficiently.

All other combinations (plane-wave dibaryon operators, quasi-local operators, and mixtures) produced bounds that agreed within statistical uncertainties. That consistency points toward convergence on a stable description of the spectrum, rather than artifacts from a poor operator choice.
Do bound two-nucleon states exist at this heavy quark mass? The variational method can only deliver upper bounds, and the results show no evidence for a bound state in either channel. They cannot rule one out, either. But what the study accomplishes may matter more in the long run: it sorts out which operator strategies are trustworthy and which introduce misleading artifacts.
Getting the two-body problem right is a prerequisite for everything else. The long-term goal of computing precise nuclear matrix elements from QCD, needed to interpret dark matter searches and neutrino oscillation experiments, starts here.
The paper also delivers a clear warning. Not all operator bases are created equal. The fact that hexaquark-only results are weaker is not a curiosity; it signals that operator sets with poor overlap onto the physical states of interest can lead you astray. Future LQCD calculations of two-nucleon systems should include diverse, physically motivated operator families and verify consistency across choices. That discipline, more than any single number, is the most lasting contribution of this work.
Open questions remain. The calculation used an unphysical quark mass, and extrapolating to the physical value mπ ≈ 140 MeV is computationally daunting but necessary. Whether bound dineutron and deuteron states appear at large quark masses, and what that would imply about how nuclear binding varies with quark mass, is still unresolved. The role of negative-parity operators in larger variational bases also deserves further study.
Bottom Line: By stress-testing a wide variety of operator choices in lattice QCD calculations of two-nucleon systems, this work sorts out which computational strategies produce reliable energy bounds and which do not, a necessary step toward trustworthy first-principles nuclear physics.
IAIFI Research Highlights
This work applies variational algorithms from quantum information science to lattice QCD calculations of nuclear systems, connecting AI-adjacent computational methodology with fundamental nuclear physics.
The systematic study of how operator choice affects variational eigenvalue extraction offers concrete lessons for machine-learning-guided basis selection in quantum many-body problems, a rapidly growing area of AI-for-physics research.
By rigorously benchmarking interpolating-operator strategies in the two-nucleon sector, this work advances the long-term goal of computing nuclear matrix elements from QCD, needed as inputs for dark matter and neutrino physics experiments.
Future work will extend these variational methods toward physical quark masses and larger volumes. The paper is available at [arXiv:2404.12039](https://arxiv.org/abs/2404.12039) from the NPLQCD collaboration, with MIT and IAIFI affiliates among the lead authors.