Single electrons on solid neon as a solid-state qubit platform
Authors
Xianjing Zhou, Gerwin Koolstra, Xufeng Zhang, Ge Yang, Xu Han, Brennan Dizdar, Xinhao Li, Divan Ralu, Wei Guo, Kater W. Murch, David I. Schuster, Dafei Jin
Abstract
Progress toward the realization of quantum computers requires persistent advances in their constituent building blocks - qubits. Novel qubit platforms that simultaneously embody long coherence, fast operation, and large scalability offer compelling advantages in the construction of quantum computers and many other quantum information systems. Electrons, ubiquitous elementary particles of nonzero charge, spin, and mass, have commonly been perceived as paradigmatic local quantum information carriers. Despite superior controllability and configurability, their practical performance as qubits via either motional or spin states depends critically on their material environment. Here we report our experimental realization of a new qubit platform based upon isolated single electrons trapped on an ultraclean solid neon surface in vacuum. By integrating an electron trap in a circuit quantum electrodynamics architecture, we achieve strong coupling between the motional states of a single electron and a single microwave photon in an on-chip superconducting resonator. Qubit gate operations and dispersive readout are implemented to measure the energy relaxation time $T_1$ of $15~μ$s and phase coherence time $T_2$ over $200~$ns. These results indicate that the electron-on-solid-neon qubit already performs near the state of the art as a charge qubit.
Concepts
The Big Picture
Imagine trying to balance a soap bubble on the tip of a needle, for microseconds at a time, while also reading out its quantum state with a microwave antenna. That’s roughly the engineering challenge at the heart of quantum computing: keeping delicate quantum bits, or qubits, isolated from the noise of the world long enough to do useful computation.
Every qubit platform faces this tension between isolation and control. Superconducting circuits are fast but noisy. Trapped ions hold quantum states longer but are slow to operate. Semiconductor quantum dots are scalable but plagued by material defects.
A team from Argonne National Laboratory, MIT, University of Chicago, and collaborating institutions has taken a different approach: they’ve trapped a single electron on the surface of frozen neon and turned that electron into a qubit. Solid neon is one of the cleanest, quietest materials in existence. No magnetic impurities. No stray electrical interference from material defects. Just a perfectly ordered crystal of inert noble gas, cooled to near absolute zero, with a lone electron hovering above it.
Without any optimization, this new platform already matches the best charge qubits ever built.
By trapping a single electron on an ultraclean solid neon surface and coupling it to a superconducting microwave resonator, researchers have created a charge qubit that simultaneously achieves long coherence, fast control, and the potential for massive scalability.
How It Works
The physics starts with a quirk of solid neon’s electronic structure. When a free electron approaches the neon surface, two competing forces create a trap. The Pauli exclusion principle pushes the electron away from neon’s atomic electrons with a repulsive barrier of about 0.7 eV.
At the same time, the electron polarizes the neon crystal beneath it, creating an attractive image-charge potential, a pull toward the surface generated by charge rearrangement inside the neon. Together, these forces form a quantum well: a potential pocket where the electron sits suspended just nanometers above the surface in a well-defined quantum state.

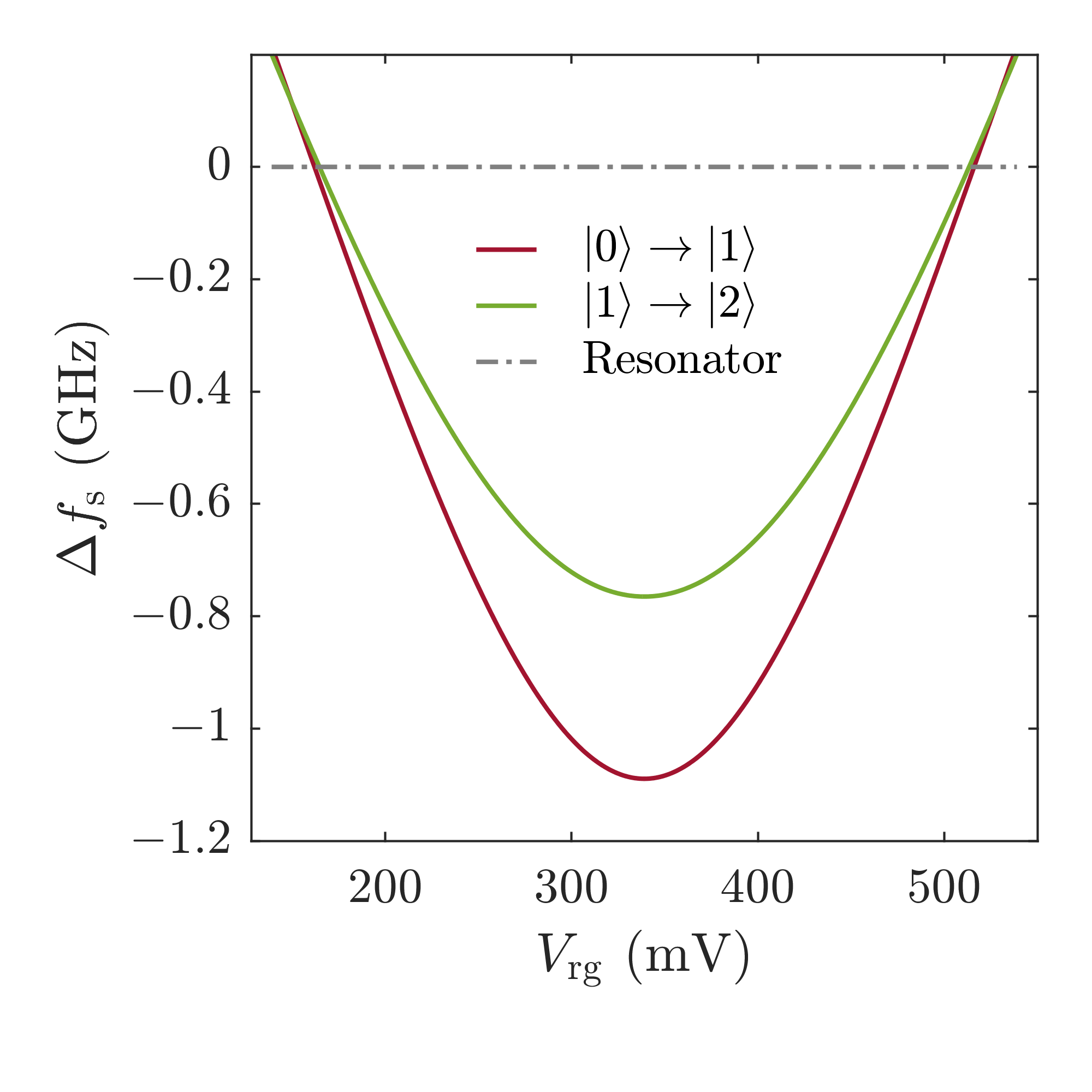
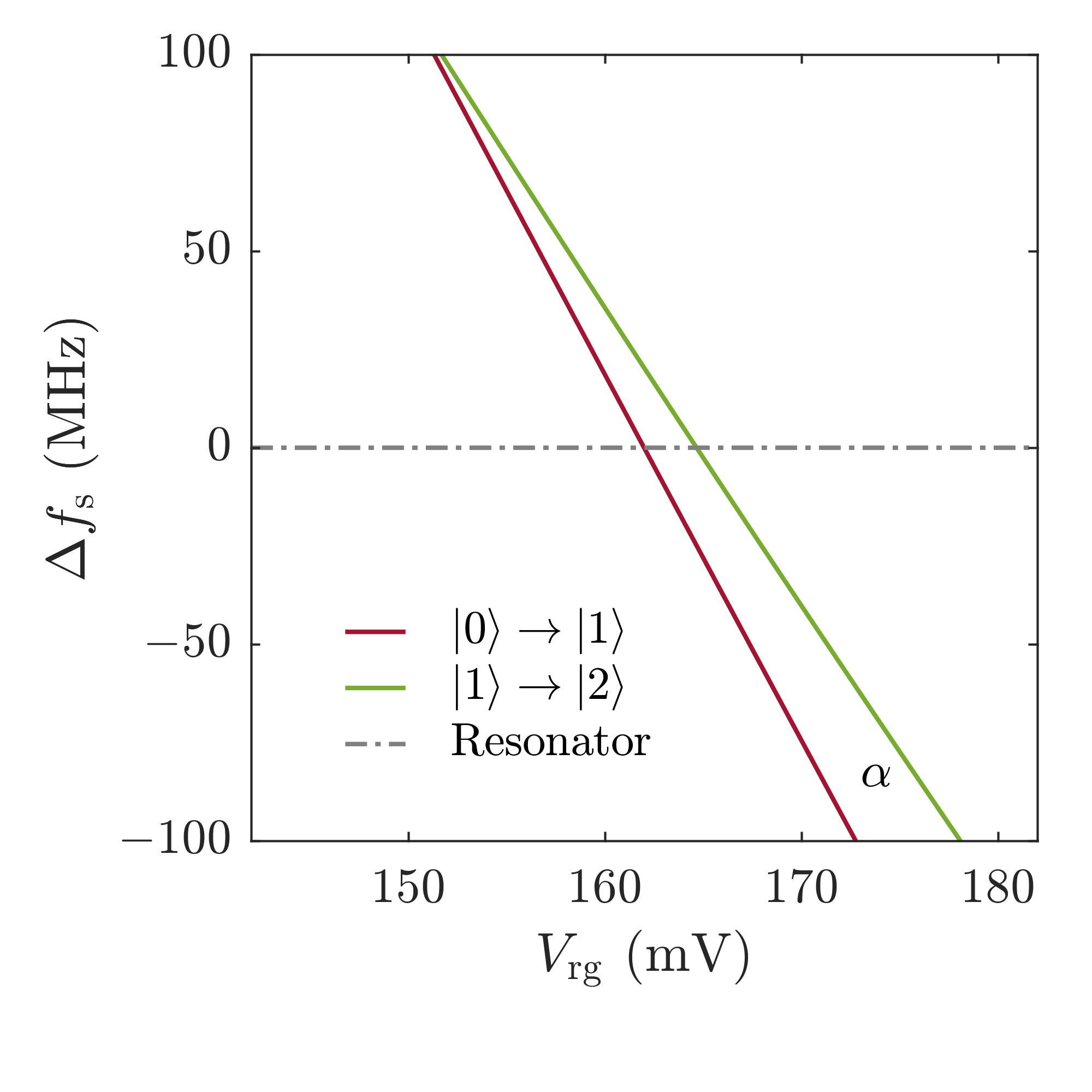
To confine the electron laterally, the team etched a narrow channel into a chip and used precisely controlled DC voltages on multiple electrodes to sculpt an in-plane trapping potential. The electron’s lateral motion becomes quantized, with discrete energy levels serving as the two states of a qubit: |0⟩ and |1⟩.
The piece that makes this practical is circuit quantum electrodynamics (cQED), a technique that uses on-chip microwave circuits to control and read out quantum systems. It’s the same architecture behind modern superconducting qubit experiments. The electron trap sits at the open end of an on-chip superconducting quarter-wavelength resonator, where the microwave electric field is strongest. When the electron’s transition frequency is tuned close to the resonator’s frequency (~6.3 GHz), the two systems exchange energy coherently.
The team observed vacuum Rabi splitting, a spectroscopic signature proving that the electron and a single microwave photon couple strongly enough to hybridize into entangled quantum states. With this architecture in place, they ran a full suite of qubit characterization measurements:
- Two-tone spectroscopy to map the electron’s energy levels as a function of electrode voltage
- Rabi oscillations, microwave-driven oscillations that flip the electron between |0⟩ and |1⟩, demonstrating coherent gate control
- T₁ measurements (energy relaxation time): the qubit retains its excited state for 15 μs
- T₂ measurements (phase coherence time): quantum phase information survives for over 200 ns

These numbers put the electron-on-neon qubit at the state of the art for charge qubits, and the device hasn’t been optimized yet.
Why It Matters
The bottleneck for most charge qubits has always been decoherence. Stray electric fields from material defects, charge traps at semiconductor interfaces, magnetic noise from nuclear spins: all of these scramble the quantum information encoded in an electron’s position. Solid neon sidesteps nearly all of these problems.
It’s a closed-shell noble gas with no dangling chemical bonds, no surface states, and almost no nuclear spins. The only naturally occurring isotope with a nonzero nuclear spin, ²¹Ne, makes up just 0.27% of natural neon and can be purified away entirely.
This raises an appealing possibility: converting the motional qubit into a spin qubit. An electron’s spin is even more isolated from its environment than its position, and theoretical estimates suggest spin coherence times on solid neon could be dramatically longer than what current charge qubits achieve.
The platform is also compatible with standard superconducting chip fabrication, so arrays of electron traps could be scaled using existing semiconductor manufacturing infrastructure. Single electrons are natural mediators between different quantum systems, too, potentially linking superconducting qubits, spin qubits, and photonic quantum networks in a hybrid architecture.
Electrons trapped on solid neon represent a genuinely new entry in the qubit zoo, one that combines the cleanliness of atomic physics with the scalability of solid-state devices, already performing at the state of the art without any optimization.
IAIFI Research Highlights
This work sits at the intersection of condensed matter physics, atomic physics, and quantum information science. Building it required simultaneous expertise in surface physics, superconducting circuits, and cQED architecture, using a cryogenic noble-gas crystal as a quantum substrate.
The electron-on-neon platform offers a scalable, low-noise qubit architecture that could accelerate development of quantum processors capable of running quantum machine learning algorithms beyond the reach of classical hardware.
The experiment probes the quantum electrodynamics of a single elementary electron interacting with a single microwave photon, reaching the strong-coupling regime in a solid-state system with unprecedented environmental cleanliness.
Future work will pursue spin-charge conversion to exploit the electron's spin degree of freedom; this research is available at [arXiv:2106.10326](https://arxiv.org/abs/2106.10326).