The Neutrino Kaleidoscope: Searches for Non-Standard Neutrino Oscillations at Neutrino Telescopes with a TeV Muon Accelerator Source
Authors
Nicholas W. Kamp, Gray Putnam
Abstract
Muon accelerators, a potential technology for enabling $\mathcal{O}$(10 TeV) parton center of mass energy collisions, would also source an intense, collimated beam of neutrinos at TeV energies. The energy and size of this beam would be excellently matched as a source for existing and planned neutrino telescopes: gigaton-sized detectors of astrophysical neutrinos at and above TeV energies. In this paper, we introduce the technical considerations and scientific reach of pairing a muon accelerator source of neutrinos with a neutrino telescope detector, a combination we dub the ''Neutrino Kaleidoscope''. In particular, such a pairing would enable searches for non-standard oscillations of the beam neutrinos as they traverse the earth between source and detector. These non-standard neutrino oscillations could be sourced by Lorentz invariance violation, which a neutrino kaleidoscope could probe up to the quantum gravity-motivated Planck scale. Such a search would also have a reach on sterile neutrinos orders of magnitude beyond existing terrestrial limits. Finally, we touch on some of the non-oscillation potential of a neutrino kaleidoscope.
Concepts
The Big Picture
Imagine firing a beam of nearly massless, nearly invisible particles through the entire planet, from a particle accelerator in Illinois straight down through Earth’s crust, mantle, and core to a detector buried in Antarctic ice. Sound like science fiction? It’s not. It’s the core idea behind what physicists Nicholas Kamp and Gray Putnam call the “Neutrino Kaleidoscope,” and it could become one of the most powerful probes of fundamental physics ever built.
Neutrinos are the universe’s most antisocial particles. They carry no charge, have almost no mass, and barely interact with anything. Trillions pass through your body every second without a trace. Yet their ghostly nature is exactly what makes them useful: a neutrino beam can travel thousands of kilometers through solid rock and emerge almost completely intact, carrying information about the journey with it.
The proposal pairs two emerging technologies, muon accelerators (next-generation colliders that use muons, particles similar to electrons but about 200 times heavier) and neutrino telescopes (enormous underground detectors like IceCube), to create a new kind of experimental setup. The result could probe physics at energy scales approaching the Planck scale, the theoretical frontier where quantum mechanics meets gravity.
Key Insight: By directing the intense neutrino beam from a future muon accelerator at existing neutrino telescopes thousands of kilometers away, physicists could search for exotic new physics, including hints of quantum gravity, with sensitivity orders of magnitude beyond anything currently possible.
How It Works
A happy coincidence of scales makes the whole thing work. Future muon accelerators circulating muons at energies around 5–10 TeV (one TeV is roughly a thousand times the energy stored in a stationary proton) produce neutrinos as a natural byproduct. When muons decay, they emit two types of neutrinos in a tight, focused beam. At 5 TeV, that beam’s angular spread is just 0.02 milliradians, so narrow that after traveling thousands of kilometers, it still fits inside a detector only hundreds of meters across.

The second piece: neutrino telescopes like IceCube instrument roughly a cubic kilometer of ice, about a gigaton of active mass. At TeV energies, roughly 1 in 10 beam neutrinos interact inside a gigaton detector. That interaction rate, combined with the collimated beam, means the kaleidoscope accumulates statistics far exceeding what atmospheric neutrinos can provide. And because the beam composition is precisely known, the systematics are far better controlled.
The authors consider three baselines, each probing a different layer of Earth’s interior:
- Fermilab → P-ONE (off Canada’s coast): ~7,700 km, through the crust
- Fermilab → KM3NeT (Mediterranean): ~8,600 km, through the mantle
- Fermilab → IceCube (South Pole): ~12,900 km, through the core

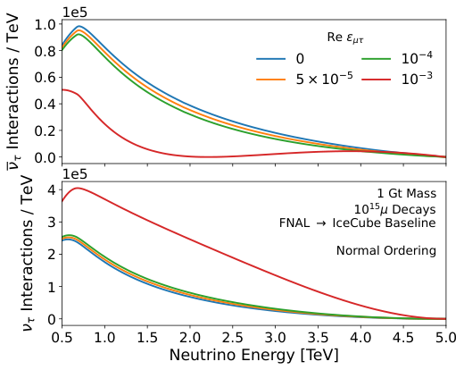
The oscillation search compares the flavor composition (the mix of neutrino types) at the source against what arrives at the detector. Standard neutrino oscillations are well understood: neutrinos quantum-mechanically morph between their three flavors (electron, muon, and tau) as they travel. New physics would show up as deviations from the expected pattern. The beam’s angular spread also provides a useful trick: sampling different off-axis angles effectively samples different neutrino energies, sharpening sensitivity to oscillation signals through what’s known as the PRISM effect.
The physics reach is worth spelling out. For sterile neutrinos (hypothetical particles that don’t interact via the weak force), the kaleidoscope could probe mixing with ordinary neutrinos at mass splittings around 1 eV², with sensitivity orders of magnitude beyond existing terrestrial experiments.
The reach for Lorentz invariance violation is even more dramatic. Some quantum gravity theories predict tiny departures from Einstein’s special relativity. These effects accumulate over long baselines and become measurable at TeV energies. The kaleidoscope could probe violations suppressed by the Planck scale (~10¹⁹ GeV), equivalent to detecting a wrinkle in the fabric of spacetime itself.
Why It Matters
This proposal connects two communities that don’t usually overlap: collider physics and astrophysical neutrino detection. Muon accelerators are being actively developed as the next generation of high-energy colliders. IceCube is real and operating today, with next-generation upgrades planned. The neutrino kaleidoscope isn’t a distant fantasy; it’s a proposal to deliberately connect infrastructure that may exist within decades.
There’s a deeper point here, too. The byproducts of future accelerators may be as scientifically valuable as their primary collisions. A muon collider built to explore 10 TeV center-of-mass collisions would simultaneously run the world’s most sensitive neutrino oscillation experiment, essentially for free, using detectors already deployed on the ocean floor and at the South Pole. That kind of dual use may define how the next generation of experiments gets designed.
Open questions remain. Can a muon accelerator ring be engineered with a straight section pointed at a telescope thousands of kilometers away at a steep downward angle? How precisely can the total neutrino flux be measured to keep experimental errors under control? What does the near-detector physics program look like? Kamp and Putnam flag these as active areas for further study, and the paper lays out a quantitative framework for addressing them.
Bottom Line: The Neutrino Kaleidoscope would turn a future muon collider into a dual-purpose physics machine, probing quantum gravity signatures and exotic sterile neutrinos with sensitivity orders of magnitude beyond today’s experiments, simply by pointing its neutrino beam at detectors that already exist.
IAIFI Research Highlights
This work connects accelerator physics, neutrino astrophysics, and quantum gravity phenomenology by repurposing future collider infrastructure as a long-baseline neutrino oscillation experiment, using Earth itself as the medium.
The data analysis challenges posed by neutrino kaleidoscope searches (disentangling rare oscillation signals from TeV-scale backgrounds) will likely push development of machine learning methods for neutrino event reconstruction and classification in experiments like IceCube.
The proposal offers sensitivity to Lorentz invariance violation at the Planck scale and sterile neutrino mixing orders of magnitude beyond current terrestrial limits, probing physics well beyond the Standard Model.
Future work will focus on detector optimization, beam engineering constraints, and near-detector physics; the full analysis framework is detailed in [arXiv:2508.09249](https://arxiv.org/abs/2508.09249).